Glazier Premier Tutoring
Memorize Almost Nothing, Understand Everything
High School & College
High School, College, PreMed, & Medical School
2nd Grade up to Multivariable Vector Calculus and Differential Equations
High School & College
ACT, ISEE, PSAT, SSAT, SAT, MCAT, GRE, & NY State Regent
About Me
When it comes to the struggles of students, I know this dynamic all too well. I lived it throughout my entire childhood. Being nightmarishly dyslexic, academics overwhelmed me, and through grade school, middle school, high school I basically threw in the towel. The courses that I didn’t fail, I scraped by with barely a passing grade.
For me, the Teachers could present sets of instructions –– either methods of solving Math & Science problems, or facts and rules presented to us in classes of history, English, languages, and others –– and as soon as those instructions were handed to us, it was in one ear and out the other for me. Remembering sequences of events, for this dyslexic mess, was insurmountable.
I initially did not plan to attend college following high school, but decided to give one semester a try, just to prove to myself that “I could do it.” And I began my college academics at Central Connecticut State University (CCSU). Of course, I signed up for Physics that first semester having bombed it in high school. Because I can never simply remember sequences to solving problems, just knowing the steps I was destined to fail. “The first step is ‘Step A,’ and next we do Step B, and then Step C, etc.”, the Professors would explain, and in real-time everything would become jumbled in my head. Ergo, to experience any success in math & science, just to even pass any of my classes, I had to know why Step A leads to Step B, and why Step B leads to C, and why C leads to D . . .
. . . in addition, I had to process in my head the myriad of permutations that transpire if something gets changed, or left out, or some other factor introduced at each junction . . .
. . . so that when I forgot these steps –– not if I forgot them, but when I forgot them –– I’d be able to use common sense to figure out the sequence of steps from scratch. In short, I couldn’t just familiarize myself with the solutions to problems; I had to master them.
As a result, whereas my classmates would get the gist of the ideas upon hearing the initial presentation, I had to master every micro-component of every step. And note: This mastery of all the nuances wasn’t due to some vision that “mastery of the why’s” was superior in the grand scheme to just knowing the steps. No, mastery for me was literally pure survival. I either knew it entirely, or I didn’t know it all.
But here’s the rub: This disability turned out to be the best possible blessing! As time progressed, I learned how to learn with much greater efficiency, and whereas my classmates’ “learning” was gaining a familiarity and some sense of the subject matter, my learning was total mastery.
Long story short: That first semester, I decided to stay in college, I declared my Major as Physics/Mathematics (and Chinese Language), and graduated 4.00 GPA in my Major. (Graduated 3.83 overall.) In addition, I won the John B. Bulman Award in Physics my Senior Year, and also won the Award for Excellence in Language Studies. I am recognized by Clark University as an Outstanding Educator, and was nominated by CCSU, and then inducted into, Sigma Pi Sigma, also known as “The Honor Society for Physics and Astronomy.”
I would say that my greatest achievement in college, though, even more than the A+ in every math and science class, is that my preparation for my final exams in those courses was literally zero. During the exam prep period where the University allows students to prepare for their exams, I oftentimes would start my Winter job or Summer job early, on account of requiring NO prep for math & science. Because once you’ve mastered the material –– not practiced it, not memorized, but mastered it –– then what is there to prepare?? It’s all common sense at this point. I couldn’t “forget” these concepts even if I wanted to!
The net result of my approach to academics at CCSU is that (A) I came out of college with a spectacular education, and (B) it was the easiest years of my life.
And this very approach that earned me unbridled success at University is precisely what I bring to my teaching. Any student who follows my lead exactly as I prescribe and masters to absolute perfection the courses’ base fundamentals –– and over the decades of developing and perfecting my craft, I have laid out in crystal-clear notes precisely what are these fundamentals and how they are applied, and so perfect mastery of said fundamentals is easily attainable –– when this mastery is achieved, students will shocked at how relatively easy it is to absorb, assimilate, and perfect their understanding of Mathematics, Physics, Chemistry, Organic Chemistry, and Statistics.
By the way, a little humorous note as to how I also got my degree in Chinese Language, and I could title this “fun with Dyslexia!”:
Part of being a Physics Major, you have to sign up to take two semesters of Chemistry. And as I was selecting courses from the course catalog, instead of choosing the course number to “CHEM 121” at the Registrar’s Office, I accidentally wrote down the course number to “CHIN 101.” Whoops. But I had to take a language course anyway as part of graduate requirements, and so decided to stay in the class . . . . ended up studying in Chinese my entire stay at University and graduated semi-fluent both in verbal and written Chinese.
On a personal note, I am happy to share with you, as I share with students, some of the life experiences (and tragedies) that I have endured. Any wisdom that I can pass onto students as a result of my ordeals and/or achievements, I happy to share.
Students oftentimes feel alone in their struggles, not understanding the difficulties that others are experiencing. And I share with them stories about my journeys with physical disability:
In my 20s, I was a spectacular athlete –– an accomplished martial artist (Karate, Tae Kwon Do, Gung Fu), an excellent rock climber, an avid cyclist, and a track/cross-country enthusiast who was running the mile not far from the 4-minute mark. Shortly after turning 30, however, I was struck by a vehicle in a hit-and-run accident and could not walk unaided afterward for over 3 years.
And that was the lesser of my TWO accidents.
Following the first accident and multiple surgeries (2 on left knee, 3 on right knee), I rehabbed nothing short of miraculously –– back to cycling, inline speed-skater, and back to the martial arts. And then 10 years following the first accident, almost to the day, I was hit by a tractor trailer truck while cycling on Long Island, NY. Broke my R shoulder; shattered my R clavicle into 4 pieces, non-union; dislocated my L shoulder; broke 5 ribs; ripped the abdominal wall; concussion; and 6 blood clots. And once again, through multiple surgeries and thousands of hours of physical therapies, I rebounded nothing short of miraculously.
And this tenacity to never give up is something I endeavor to encourage my struggling students to latch onto. Every problem has a solution. And if you don’t yet see that solution, it isn’t because the solution isn’t there; we just need to keep looking.
About My Teaching Methodology
I meet with students online. The best medium for communication is Skype, given its superb document-sharing features. Of course, there are other avenues are available, including Zoom, FaceTime, Webex Meeting, Google Met, etc., for those who do not use Skype.
Sessions are typically 1-ish to 1.5-ish hours, with the focus being more on completion of the task than on the clock. Each session is geared toward what is currently discussed in the student’s classroom, whilst simultaneously digging to discover where there are underlying issues.
For students who require reinforcement work, we try to “kill two birds with one stone” by focusing on the present assignments from the classroom, but if there are prerequisite concepts that necessitate bolstering, in my possession are thousands and thousands of documents I’ve created at the ready.
The difficulty that students typically have is that they know that they’re missing key components, but they’re oftentimes unsure of what needs mending. It’s the classic “not knowing what you don’t know.” But even if by some miraculous stroke of luck a student could pinpoint precisely what topic(s) that’s baffling them, it’s an entirely different issue to repair said weaknesses and misconceptions on one’s own. It’s like suffering a terrible tooth infection –– you can know exactly which tooth is the source of your pain, but good luck trying to perform your own root canal.
Within minutes of meeting with a student, I know exactly where and why they are experiencing the difficulties that plague them, and we set up a plan to right them. . . . And how can I perform this task with such immediacy? It’s called having taught Math, Physics, Chemistry, Statistics for over 40 years. I’ve seen every confusion there is, and have already created documents which address them.
Dollar-per-hour I might not be the cheapest, but dollar-per-concept there is no one more economical. Sure, there are Tutors half my hourly rate, but I get all problems resolved in a fraction of the time. Having started my profession 44 years ago when I tutored to help to put myself through college, I simply where know where students’ discrepancies lie both dormant and active, and I know what is the quickest route to them having a command of the material.
The bottom line for those convinced they’re just “not Math or Science students”: What is my personal success rate in getting correct answers to math and science questions? And I’m not talking about just problems at the end of each chapter in a math or science textbook; I’m also referring to when professional Engineers have been stuck on their analysis and sent their work to me to solve.
The answer is “100%. And I find all this ‘Math-Science stuff’ to be ridiculously easy . . . and this is in spite of having a severe learning issue. Ergo, do what I do! It works perfectly, and it works even for those who’ve always perceived themselves as ‘Math-science inept’.”
And this starts with mastering the fundaments that I have laid out crystal-clearly in my notes and appendages.
Who Benefits From My Teaching?
Students who are struggling in Math, Physics, Chemistry, or Statistics, students feeling lost in their standardized test preparation, these are clearly candidates for my intervention. For those labored in these subjects, unable to get a handle on the material, I not only locate their sources of confusion with their present material, but I also pinpoint what underlying discrepancies in their background triggered their present confusions, and I address every one of them. I will find and repair confusions and misconceptions that students aren’t even aware they have.
Literally, every student who’s followed my lead I have been able to reach.
Dollar per hour I might not be the cheapest, but Dollar per concept, I am the most affordable. There are Tutors out there half my hourly fee, even less, but I get the job done in a fraction of the time. I possess the experience, the perspective, and all of the materials that students need.
But tutoring isn’t just for those floundering in these subject areas –– even the most naturally gifted students in Mathematics and Science are my clients. And for them I serve a logistical function:
For all those with that natural math-science acumen, of course they can figure out how to put all of the pieces together on their own. However, if they are constrained in time, who’s going to fit these pieces together into a cohesive understanding faster –– they, themselves, who are brand new to these topics, or someone who’s been teaching these very concepts every day for more than four decades? What might require hours and hours of fumbling time on their end before ideas finally “click,” I’ll have that done in minutes.
Again, it’s called 44 years of teaching experience.
PHYSICS
Learn More About Physics
In Physics, the difficulty that students frequently express is feeling utterly clueless on tests and exams. They read the problems but then immediately draw a blank, no matter how much preparation they’ve engaged in. Tutor after Tutor, problem after problem, and yet the students still choke under the pressure of a test. This pitfall derives from not having properly learned to identify the different types of problems. My approach cures this.
Following are a few examples of the summaries and perspectives that are offered. These may appear foreign to the untrained eye, but once these summaries and formulas become second nature, which is exactly what I train my clients to do, all of this “Math & Science stuff” becomes incredibly easy.
I have plans of attack for each general type of problem, and through instruction and drilling practice, I will condition you to identify what type of problem is before you:
• 1st Question I coach Physics students to ask themselves: “Is the problem I’m reading related to Mechanics, Oscillatory motion, Heat & Thermodynamics, Optics, Electricity & Magnetism, or Modern Physics?”
Whichever one of those broad areas the problem is rooted in, there are then a series of followup questions that further break down which type of problem one has. Once the identification is completed, you simply execute the appropriate 4- or 5-step plans that I supply to you during our sessions together . . . .
Suppose you assess that a homework or test question is rooted in Mechanics. You have an arsenal of “Plans” to solve these problems:
• If the problem has constant acceleration due to an unbalanced net force, then, boom, immediately follow my Force-Dynamics 5-Point Plan.
• If you’re asked about velocities or displacements of the aforementioned problem, then immediately follow my Kinematics 5-Point Plan.
• An object is flying through the air, like a baseball or soccer ball? Follow my Projectile Motion 5-Point Plan.
• If it has non-constant acceleration, then follow the Work-Energy 4-Point Plan.
• If it’s a collision between objects, then follow the Momentum-Collision 5-Point Plan.
• If it’s a collision between objects that are rotating, then follow the Rotational Momentum-Collision 5-Point Plan.
• If an object is accelerating rotationally, then use my Torque 5-Point Plan.
etc. etc. etc.


Suppose the question is Optics. Ask yourself:
• Is it a mirror? If so, flat or curved?
• It is a lens?
• Are we talking about rays of light changing direction (i.e. refraction vs. diffraction)?
etc. etc. etc.
Based on how these questions get answered, you’ll know which plan of attack to employ.

You’re studying Electricity & Magnetism, but unsure of when to insert the negative (–) sign on a negative charge? My treatise on vectors vs. scalars, however, clears that up in a flash! I call it the “make sure you account for the negativeness of the charge once and only once” principle.

You ever hear of Ohm’s Law for resistors in an electric circuit? It’s V = iR, right? . . . well, that’s what just about every textbook prints, and yet this is patently incorrect! Not slightly wrong, but 100% wrong!

In addition, on circuits (with resistors, capacitors, inductors, and other electrical components), I will show you my unique color–coordinating system that allows one to calculate Voltage at every location in the circuit with ease.
Have you ever balanced your checkbook? You add deposits to your balance, and subtract from the balance checks you’ve written. Simple, right? When you’re studying Heat & Thermodynamics, you’ll see how balancing your checkbook is the perfect analogy for the “1st Law of Thermodynamics.”

Potential Energy (and Voltage, or “Potential”, in Electromagnetism) –– where do they equal Zero again? . . . Depends on whether the field is Radial vs. Uniform & Parallel. I detail this so there’s never a confusion again.
Fluids . . . oh brother, how that confuses so many, especially hydraulics and buoyancy. Let me show you how fluids is essentially a “liquid lever.” It’s Mechanics all over again, but with a liquid object instead of a solid object.

The bottom of all bottom lines:
When you’re good to Physics, Physics will be good to you.

CHEMISTRY
Learn More About Chemistry
Chemistry, that dreaded subject that invokes fear in so many on account of being full of numerous rules and generalizations that seem arbitrary . . . . unless, of course, you can visualize what is happening on the molecular, atomic, and ionic level. Once you have an intuitive, visual understanding of the concepts within Chemistry, even the most obtuse “rules” become common sense.
Following are a few examples of the summaries and perspectives that are offered. These may appear foreign to the untrained eye, but once these summaries and formulas become second nature, which is exactly what I train my clients to do, all of this “Math & Science stuff” becomes incredibly easy.
Firstly, to understand the key concepts of Combustion, Synthesis, REDOX, Single- & Double-Replacement, or Acid-Base reactions . . .

. . . to understand thoroughly the Gas laws, Kinetics, and Reactions Rates . . . to calculate Solubility/Dissociation quantities in different solvents . . . to master Nucleophiles attacking Electrophiles in Organic Chemistry . . . to leap into dissecting Molecular Orbitals above and beyond atomic orbitals . . .
. . . . it is beyond critical to master shapes of molecules and configurations of ionic compounds . . . but to understand those, one needs to first master atomic, ionic, and molecular structure . . . but to grasp those concepts, one must first conquer the structure of electrons around the atom. Ergo, electron structure is truly the precursor to just about everything you learn in Chemistry. My approach ensures that a visual grasp of electrons in atoms, their energy levels, their energy sub-levels and orbitals become “second nature.” Without this foundational base, so much of chemistry is forced to become memorized generalizations, but with this base solidly intact, the entire curriculum becomes logic and common sense.

So many substances in chemistry are ionic solids, and sometimes they dissociate (break apart) in a solvent such as water, and sometimes they don’t. Understanding the Solubility Rules will allow us to determine which reactions occur, which don’t, as well as calculate quantities of product (and reactant left over). But to understand Solubility, one really needs total comprehension of the stability of anions . . . .

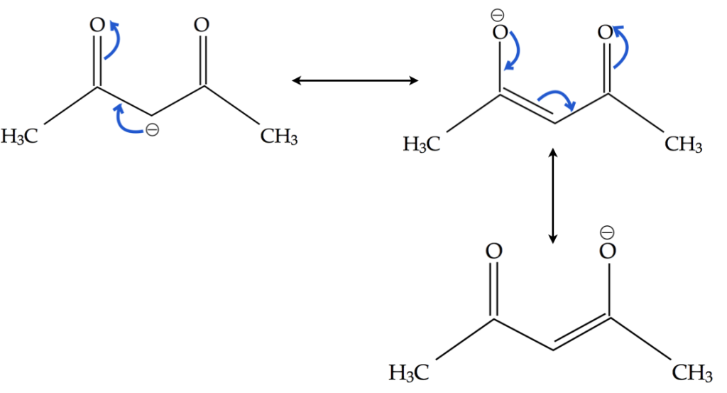
But to understand anion stability, you really need to master the concept of Resonance (“Rez”) . . . .

In fact, for my Organic Chemistry students, I tell them Day 1: “If you master the concept of Resonance to perfection –– and this isn’t at all difficult to do –– then you’ll be shocked at how many of these reaction mechanisms you’re struggling to memorize you’ll now see as pure logic.”
Organic Chemistry (“Orgo”) is that feared course that Premed students pray they can hopefully pass. One of my greatest professional joys is hearing my Orgo students declaring, “Ohhhhh, this makes so much sense! Even if I forget the reaction mechanisms to the gazillion reactions they’re forcing us to memorize, I’ll just be able to figure them out from scratch!”


Along with stability of anions, we should be familiar by name with all of the popular anions. Unfortunately, there are discrepancies in the nomenclature of polyatomic ions, as well as with molecules, in general. But no problem –– I have worked out a unique set of nomenclature rules that will allow you to forgoe the otherwise mounds of rote memorization that limits one’s success!
And this circles us back to the Solubility of different substances. Granted, there are sets of rules as to what is generally soluble and insoluble in water, but with mastery of the stability of anions, all of these “rules” are pure logic.
Of course, to investigate futher the solubility (and conversely, solid precipitates) of ionic solids, that is where Ksp comes into play, with Ksp being a specific application of the Equilibrium Constant of two-way reactions, Keq. I will take you through that entire array of applications top to bottom.
All mixed up by the number of different Gas Laws? Actually there aren’t that many –– either you have a single gas, or you don’t. And if it’s a single gas, it’s either “Status” (meaning, its conditions don’t change) or it’s “Transition” (meaning, its conditions do change). It’s that simple. With the Gases flowchart, once you diagnose what type of gas question your tests brings to you, then it’s a no-brainer how to proceed.

Baffled by all the different methodologies and formulas in the chapters on Acids & Bases? There are Strong Acids, Strong Bases, weak acids, weak bases, polyatomic acids, Titration, Neutralization, Buffers, etc. etc. etc. But even with all of these intricate concepts under the umbrella of Acids & Bases, fear not, for I have a perspective –– actually my own definition –– of Acids & (weak) Bases, along with systematic approaches to each problem type which simplifies these concepts significantly.

The bottom line of all bottom lines:
The fundamentals aren’t just important; they’re everything!

Math, Statistics, and the hard sciences of Physics and Chemistry are 5% memory, 95% figuring out.
Understand everything, memorize almost nothing!
And so when you have a conceptual understanding of Chemistry, you’ll see how the seemingly disparate topics within Chemistry –– whether it be Limiting Reagants within Stoichiometry, Packing, IMFs (Intermolecular Forces), Electrochemistry, Formal Charge, Oxidation Number, and countless other “topics” –– how they are really just different perspectives on the same fundamental principles.

MATHEMATICS
Learn More About Geometry
Following are a few examples of the summaries and perspectives that are offered. These may appear foreign to the untrained eye, but once these summaries and formulas become second nature, which is exactly what I train my clients to do, all of this “Math & Science stuff” becomes incredibly easy.
Geometry is actually two courses: (A) Logic, and (B) Geometrical shapes.
LOGIC establishes a set of theorems, postulates, and definitions. Theorems are statements (or rules) that need to be proven true before they can be used to prove other statements true. Postulates are axioms that are self-evident, accepted as true without proof. And definitions are descriptions of literally what a word means. These statements are established as facts, and they are used to prove true (or untrue) theoretically an unlimited number of other statements.

Every Lawyer’s career began when they first studied proofs in their high school Geometry course, as did those who venture into Coding, Game Theory, Economics, Robotics, Theoretical Math & Science, Statistics, Psychology, and countless other avenues.
Proofs tend to be difficult for nearly everyone, and eventually the idea of proofs “click together” in one’s mind. The variable here is the how long it takes before proofs finally make sense. Some students “get it” right away vs. some students just don’t grasp the necessity of all of the steps that go into proofs.

My approach to Logic focuses heavily on its applications so that students develop an intuitive understanding of how and why logic applies to proofs in Geometry problems. This way the entire scope of proofs isn’t just theoretical jargon, but instead has practical use.
Imagine trying to program a self-driving car to operate safely, would one assume that these cars could “figure out” on their own how to respond to the myriad of potential travel conflicts? Heck no! Hence the need for proper coding. And proofs in Geometry class has that need for coding . . .
When writing up a proof, I ask students to “assume that your proofs are going to be presented in a Court of Law, and the opposing Attorney is attempting to discredit your argument mercilessly.” And so when a student is presenting a proof to a Geometrical problem, during our sessions I play the role of “opposing Attorney” and challenge the students’ every statement they make. So long as they can back up their statements with an established definition, postulate, or theorem that is on record in their class, then their proof is valid.
GEOMETRICAL SHAPES originated from humans’ early measurements of our planet Earth. Geo means Earth, and metry stems from meter, from Latin mētrum, from Greek metron , which means “to measure.”
A statement I remark to students endlessly:
The fundamentals aren’t just important; they’re everything!
As a result, establishing basic meanings of terms is critical in the initial phase of Geometry. And once the basic definitions, postulates, and theorems are in place, we branch into the different topics, which each section of the course building on the previous chapters studied. Typically, this covers:
• Parallel lines
• Similar Triangles & other shapes
• Theorems based on Similarity, including Geometric Means
• Constructions, using a straightedge and compass
• Congruence
• Equidistance Theorems
• Concurrency Points
• Polygons
• Slopes, Midpoints, and Equations of Line (which ties into Algebra)
• Special Quadrilaterals
• Areas of shapes
• Triangle Inequalities
• Circles
• Volumes & Surface Areas of 3-Dimensional Polyhedrons
• Trigonometry
• Transformations (Translations, Reflections, Rotations, Dilations)
• Sequences & Series,
. . . with each individual course implementing possibly other related chapters.

My approach to Geometry ensures that students master the basics, and that allows the latter topics to assimilate easily. When Geometry is taught correctly, given that latter topics build on prior ones, by the time my students are approaching the end of the academic year and preparing for any final exam, there really is little to review. In other words, by the time one can proficiently solve problems involving Circles and Polyhedrons and Trigonometry, this automatically means they have the previous concepts down solidly.
Ergo, when I’m prepping students for their year-end final exam, as a supplement to whatever materials are handed to them by their Teachers, when necessary I pull from my massive reservoir of packets problems on Circles, Polyhedrons, Triangle Inequalities, and Trigonometry. Because if students can successively solve these latter problems, then they can certainly solve all of the problems from earlier in the course.

I purposely design the problems in my packets to discover any and all underlying discrepancies students have from earlier in the year. Hence, the preparation from my “latter” packets integrates, and thus reinforces, all of the concepts throughout the entire course.
The “Holy Grail” of Mathematics is simplicity, and simplicity stems from having subsequent topics built on prior topics.

The bottom line in Geometry is that although there are seemingly endless theorems and example types, there really are only a handful of shapes and concepts. The more complex shapes that are seen during the last months of the school year are simply extensions of the earlier shapes. This integrated approach that I apply to Geometry is what allow students to go from feeling overwhelmed by the mass array of limitless theorems and rules to feeling in total control.
Learn More About Precalculus
Precalculus is quite possibly the hardest Math class you’ll ever take, and I say this even if you go on to get a degree in Mathematics. It is a quantum leap upward in complexity over the courses that preceded it, Algebra & Geometry. On the surface Precalculus feels like a gazillion unrelated topics. The good news, however, is that all of these seemingly disjointed topics actually do connect to each other. As I illustrate the underlying connections within this assembly of seemingly-random topics, you suddenly start seeing how they all relate to each other, and at that point Precalculus turns into just a handful of concepts.
Following are a few examples of the summaries and perspectives that are offered. These may appear foreign to the untrained eye, but once these summaries and formulas become second nature, which is exactly what I train my clients to do, all of this “Math & Science stuff” becomes incredibly easy.
One element that renders Precalculus so difficult for many is that students are taught to memorize countless facts and theorems. Fortunately, though, this mass collection of “rules” can be easily understood when given the proper perspective.
For example . . .
Struggling with the “Trig Wheel” –– i.e. memorizing the sine, cosine, and tangent of 0˚, 30˚, 45˚, 60˚, 90˚, 120˚, 135˚, 150˚, 180˚, 210˚, 225˚, 240˚, 270˚, 300˚, 315˚, 330˚, 360˚? Well, guess what? You don’t need to. I repeat: You DON’T need to memorize this. I will show you a way to calculate these values with simple pictures using the 30˚–60˚–90˚ and 45˚–45˚–90˚ triangles that you already remember from your Geometry class.
You know the general form of a function undergoing transformations (translations, dilations, reflections): y = a•f[b(x – h)] + k
How is the graph of y = f(x) transformed if:
a < –1? b < –1? h > 0? k > 0?
–1 ≤ a < 0? –1 ≤ b < 0? h < 0? k < 0?
0 < a ≤ 1 ? 0 < b ≤ 1 ?
a > 1 ? b > 1 ?
Good luck trying to memorize every one of these transformation rules, especially when you’re attempting to memorize the scores and scores of other rules tossed out to you during this course.
In my book, however, I have one and only one rule about Transformations of graphs, titled, “The Only General Graphing Rule You’ll Ever Need to Know.” And this single rule explains away literally every transformation rule that math textbooks bombard you with. It’s stunningly easy, and you’ll be left wondering why textbooks even bother listing their inventory of countless rules.


Vectors!! . . . Anyone wanting to learn Physics or go onto higher mathematics needs to become fluent with Vectors, and Precalculus is where Vectors is given its thorough examination. With my background being Physics, I will show the practical applications of vectors, so that this concept isn’t some mysterious and arbitrary set of math symbols and calculations.

Learn More About Algebra
I have broken all of Algebra down into 17 basic Fundamentals, and these Fundamentals are the precursor to literally every rule, formula, theorem, and technique in the entire scope of Algebra.
Following are a few examples of the summaries and perspectives that are offered. These may appear foreign to the untrained eye, but once these summaries and formulas become second nature, which is exactly what I train my clients to do, all of this “Math & Science stuff” becomes incredibly easy.
My declaration to all students of Algebra is this: Once you master these Fundamentals to absolute perfection –– and this is really quite easy, given that (A) they are not at all complex, and (B) I spell them out crystal clearly in my annotated notes –– then you will be able to easily learn all of the rules and formulas of Algebra. Once you’ve achieved that level, then you’re prepared for literally every problem you could ever possibly face. Even if a problem presented to you on homeworks or an exam looks not even remotely similar to anything you’ve seen in class or in the textbook, then no problem, using logic and your mastery of these Fundamentals, you’ll be able to literally create on the spot solutions to these “new” problems.
Success in Mathematics, and the sciences of Physics, Chemistry, Statistics (and Engineering, Computer Science), isn’t based on memorizing every possible problem. Instead, success is based on understanding core concepts. One wouldn’t endeavor to memorize every potential Math problem anymore than an aspiring Musician would attempt to memorize every musical composition ever written, citing their “difficulty in learning how to read sheet music.”
The Fundamentals aren’t just important; they’re everything.
Once these the Fundamentals are solidified at the core level, two dynamics occur:
(1) You will be able to field any problem presented to you, no matter how foreign it appears, and (2) even though you will likely become rusty after you’ve stepped away for a while from doing a certain type of problem –– this happens to everyone, myself included –– you will never lose the content. It is uncanny how quickly these concepts come back to life after we breathe a little bit of thought into them. Again, once these basic Fundamentals are mastered.
“Memorize almost nothing, understand everything!”
For example, there is a simple rule about when we can and cannot cancel in the top and bottom of a fraction, and that is when the numerator and denominator both are 100% in factored form. Not 99% factored form, not even 99.999%, but literally 100.0% factored form, zero exceptions . . . . and yet the overwhelming majority of students, unbeknownst to themselves, aren’t even entirely certain exactly what constitutes “factored form.” (Hmmm, no wonder most students struggle with simplifying fractional expressions and solving fractional equations.)

In the arena of curve sketching (i.e. transformations and translations of graphs) in Algebra and in Precalculus students will be exposed to a significant number of curve-sketching transformation rules. I’ve seen textbook and/or classroom lectures with 20 or more graphing rules. In my presentations, however, there is only one graphing transformation rule. Literally ONE. I call it “The Only General Graphing Rule You’ll Ever Need to Know,” and this one simple rule explains away the myriad of “rules” that are expected of students to memorize.
Cannot with ease identify how many terms are in an expression or an equation? Well, even the most minute uncertainty about this distinction is the source of about 80% of all difficulties students experience in Algebra.
When can we add and subtract terms together? . . . In my book, there is only one time terms add/subtract, and I call it “The ONLY Addition Rule in Existence,” and you’d be stunned by how many people get this wrong.

All those exponent rules that students cross-confuse and/or patently forget? The best “rule” is this: When you can visualize what an expression with exponents means, throw the rules away; just use common sense. I will show you.
Perplexed by all the different formulas for exponential growth and decay? I’ll show you how they are different versions of the same basic function.

Overwhelmed by the multitudes of different word problems, the nemesis to so many Algebra students?? . . . Wait, “Multitudes of different word problems”?? Not in my book. In my world, there are only TWO types of word problems –– “Language” and “Rate.” I will show you.
Overwhelmed also by all of the different types of equations in your course? Well, guess what, there are only 6 different types. That’s it, six –– Linear, Polynomial, Radical, Fractional, Exponential, & Absolute Value. My one-page flowchart details how to handle any equation tossed out to you. You’ll identify the type of equation, and then immediately know how to proceed.
(Note: As you progress into Precalculus and beyond, there are new types of equations, but at the level of Algebra, it’s only 6.)
Struggling to compute numbers quickly in your head? I’ll show you all of the number tricks that’ll render you lightning quick at mental math.
There are scores and scores, even hundreds, of tiny nuances which make or break one’s understanding of the concepts in Algebra. I cement them into place before students are even aware they have questions about them.

Math, Physics, Chemistry, Statistics are conquered not by rote memorization, not by blind obedience to sets of arbitrary rules handed to you by your Teachers or your textbooks. Memorization has a very short shelf-life. Learn the basics, understand the theory, and this material becomes such “common sense” that you’ll struggle to get a problem wrong.
In this description of “Algebra” on this website page I’ve listed just a small snippet of what I’ve assembled together. I hope to underscore that learning concepts the right way is truly the better way, and in the long run, actually the easier way.

I do want to note, however, that there are occasions when students are experiencing an emergency and we lack the time to give Algebra its proper treatise. During those times I will triage and do emergency patch work to get the student ready for an exam. Afterward we can circle back to the content and make sure it gets assimilated properly.
Bad news about these “Holy Grail” Fundamentals, however: Not only are they not reinforced regularly in Math class as they should be, they’re generally never even brought up! And that’s because these Fundamentals are not a collection of rules that I fished out of some book or off of some website somewhere? No…
These Fundamentals are me brainstorming over the decades, thinking, “Okay, what is it I’m doing, that students are not doing, that gets me the correct answer literally every single time?”

Learn More About Basic Math
Students who work with me during their elementary years, learning Arithmetic, basic Geometry, early Pre-Algebra, granted we’re typically meeting due to their struggles with this content, what is particularly exciting for me is that I am repairing their present confusions and pre-repairing most of the difficulties that they would otherwise develop as the enter into high school math. So often when working with high students, I’m wishing we could venture back in time to when they were in the 4th grade, 5th grade, 6th or 7th grade, and work on the elements that confused them during those formative years. The troubles most high schoolers, and even college students, wrestle with is directly rooted in misconceptions and poor habits they developed during grade school.
Algebra is just Arithmetic with letters, and so the slightest confusion about Arithmetic will manifest into massive problems once they get into Algebra. Ergo, mastering Arithmetic is crucial. No matter how many example problems students are able to get correct, I make absolutely sure that the students understand why they’re doing the steps they’re writing down. Understanding is key. When kids regard math as just a series of procedures to memorize, then (A) it’s just a matter of time before said memories are forgotten, and worse yet, (B) so many of these memorized procedures get cross-confused with all of the other procedures they’re desperately (and unsuccessfully) trying to memorize.
Memorize almost nothing, understanding everything!
Following are a few examples of the summaries and perspectives that are offered. These may appear foreign to the untrained eye, but once these summaries and formulas become second nature, which is exactly what I train my clients to do, all of this “Math & Science stuff” becomes incredibly easy.
Math is 5% memory, 95% understanding, and when students adopt this new paradigm, they’re (pleasantly) shocked at how easy everything becomes. That being said, math is not 0% memory, and so I drill my clients repeatedly to know the basics . . . not memorize by rote, not just rehearse them, but know them!
For example, when I work with young kids with fractions, of course they’re going to receive from me the basic fraction rules . . . .

. . . . but before these rules are given to them, I make sure they understand visually what constitutes a fraction:

. . . . and pictures are used to demonstrate the operations on fractions, whether it be addition/subtraction, or multiplication, or division.

Once students feel comfortable with fractions, this allows us to segue into Decimals, explaining how it’s a very convenient shortcut, or alternative, to fractions. In addition to what are decimals, we delve into all of their operations.


Completion of the trifecta of Arithmetic is tying fractions and decimals in with percents. I get students to understand that per simply means “divide,” and cent means “100.” Nothing more, nothing less.
Also explained are the translations from literally English to Math, thus allowing students to forgo the maze of memorized word problems and actually understand why everything works the way it does.

The other element of elementary school Math that’s introduced heavily is the concept of Areas and Volumes of various shapes –– triangles, circles, quadrilaterals, and 3-dimensional polyhedrons. As these get presented, these problems are a wonderful opportunity to reinforce the basics of fractions, decimals, and percents.

The Bottom Line:
I teach students to think and understand Math. Not just memorize and rehearse, but to truly know the theory. For when students understand why “all this Math stuff” works the way it does, then (A) it becomes “common sense,” and (B) when they forget the procedure to a problem, no sweat, they’ll be able to re-figure out the method on the spot.
And even for students who inform me that they “have to solve the problems the way my Teacher wants me to,” even if their textbooks don’t present the most efficient or sensible solutions to problems, when students understands the theory, they’ll be able to execute any method. After all, math is math, and 5 different Teachers could show 5 different methods to solving the same problem, and the student who understands the theory will be able to see how these 5 different “methods” are really just 5 different ways of doing, ultimately, the same thing.
Learn More About Calculus
Calculus is a brilliant extension of Algebra, Geometry, and Precalculus, and so if one’s background in those subjects is rock-solid, then Calculus will be one of the easiest Math courses a student will ever take. If, however, there are components from those courses that are missing or corrupted, then Calculus can be quite the struggle.
Following are a few examples of the summaries and perspectives that are offered. These may appear foreign to the untrained eye, but once these summaries and formulas become second nature, which is exactly what I train my clients to do, all of this “Math & Science stuff” becomes incredibly easy.
News flash: Every student has something in their Algebra, Geometry, and Precalculus background that needs repair! And that is where I come in.
I have worked with hundreds of students in Calculus, and 90% of the time their struggles in this class really have nothing to do with Calculus itself; their confusions derive (pun intended) from discrepancies in their foundational base. Most of the time, however, Calculus students don’t know what they’re missing, and so on their own they have difficulty repairing their confusions. Within minutes of meeting with any Calculus student, though, I know where their underlying confusions lie, and I work on repairing these core issues immediately. As this base gets solidified, the truly clever ideas of Calculus assimilate nicely.
Calculus is broken down to a few key concepts: Derivatives/Differentiation, Integrals, Vectors and Matrices, Sequences and Series, Different Coordinate Systems.
All fancy-sounding topics, but again, they’re just extensions of simple concepts from earlier Math:
• Derivatives are Slopes of Tangent lines

• Integrals are Areas between Curves, plus Volumes & Surface Areas


• Vectors are simply arrows that represent items that have magnitude & direction (e.g. velocity, Force, Electric fields, displacement, etc.)


• Sequences and Series: A sequence is a set of terms that derive from a rule or formula, and a series is the summation of those terms. Extremely useful when one cannot derive or integrate a function as is.


• Different Coordinate Systems –– Oftentimes Polar or Spherical coordinate systems (“swirly variables,” you could call them) are preferable to the standard x-, y-, z-coordinate system (called “Cartesian Coordinates”).

Even though Calculus is a handful of basic concepts, there are a myriad of applications, just as how a piano has only 88 keys, and yet think about the number of pieces written for it thus far. Here’s the good news, though: Even though the number of applications of these fundamental ideas is expansive, conquering them is relatively easy, once the basics are understood at the core level. Hence, my heavy emphasis on fundamentals.
The fundamentals aren’t just important; they’re everything!
As you master the fundamentals –– and I will supply you with all of the necessary materials and insights to do exactly that –– then this myriad of complex applications transforms into relative “common sense.”
Lastly, I want to include that these applications of Calculus are extraordinarily useful and astoundingly brilliant! This is “real Math,” the kind that gets applied to the most advanced levels of science, economics, statistics, and even the psychology of human behavior.
STATISTICS
Learn More About Statistics
Following are a few examples of the summaries and perspectives that are offered. These may appear foreign to the untrained eye, but once these summaries and formulas become second nature, which is exactly what I train my clients to do, all of this “Math & Science stuff” becomes incredibly easy.
Statistics is just probability on a mass scale, and so to master Statistics, one must first master Probability Theory. And to master Probability, first conquer Counting. But unfortunately, Counting & Probability are two of the most tangled topics in all of Mathematics.

Of course, that is because there are key distinctions about the dichotomy of Probability & Counting problems that fail to be mentioned in most courses. And it is these very elements that I not only include, but I hyper-emphasize in my presentations. I place a heavy emphasis on placing many of the distribution formulas under a single umbrella. This way, whether you’re applying Binomial Probability Distribution or doing the nCr Method, it actually doesn’t matter. Deep down, they’re the same formula –– one just has the individual probabilites remaining the same during subsequent draws, while the other formula has the probabilities changing with each draw. But we are still using the same formula, per se. This heavy emphasis on Bayesian Probability expansions/Conditional Probability allows for some of the most convoluted problems to be approached with ease.
Granted there are formulas for Mean, Variance, Standard Deviation for both a population and for a sample, as well as Expected Value . . . but do students really, truly, intuitively understand what these terms mean? In my teaching, I make absolutely certain that you can intuit these terms and not just calculate their values blindly from a formula. This way, when a question posed to you contains a twist, instead of you being thrown off your game because the problem no longer closely resembles what you rehearsed in practice, now you’ll be able to pivot and adjust in response to this twist. Said adjustment will feel natural on account of having an intuitive understanding as opposed to a rote memorization.

A major portion of Statistics is applying the Null Hypothesis Test and finding Confidence Intervals. Null Hypothesis is something humans do naturally in everyday thought and circumstances, even if they’ve never studied Stats. How many times have you rolled your eyes at some farfetched story that someone told you? Well, you’re just innately applying the Null Hypothesis Test.
There are Null Hypothesis Tests for multiple treatments: Means, Proportions, Difference of Means, Difference of Proportions, Paired Means, Paired Sample t-Test, Chi-Square, Linear Regressions, Multiple Regressions, ANOVA, etc. etc. Fortunately, though, I have detailed FLOWCHARTS detailing how to approach each problem. So your job is to assess which type of test you’re being asked about, and once that is determined, simply apply the appropriate technique.
And the same approach is applied when asked to find a Confidence Interval for the different treatments.


Good news: For those who prefer step-by-step plans over a Flowchart, I provide 5-Point Plans to Statistic treatments as well:

In summary, Statistics students typically feel overwhelmed by the legions of different definitions, formulas, and approaches. I won’t deny that one must memorize the basic definitions, and quite likely many of the formulas, but once this is achieved via studying –– and I instruct students in precisely what they need to do –– then the only real challenge on a test is diagnosing which type of problem lays before you. For once you’ve assessed the problem correctly, you just apply the appropriate methodology that I’ve provided. The hard part has already been completed for you, and that is the summaries I have written up. You simply need to know when and where to apply each one.
TEST PREP
Learn More About Standardized Test Prep
I have been prepping students for a variety of Standardized Tests for 40 years, including the ACT, ISEE, PSAT, SSAT, SAT, MCAT, GRE, NY State Regent, and Executive Assessment Exam, in addition to a few other specialized exams.
1. Independent study on one’s own.
2. Taking a Prep course.
3. Private tutorial work.
1. Students who already possess a solid command of a clear majority of their academics, as well as harboring an extraordinarily strong work ethic, they can fare well with independent study. Students falling into this category tend to rank highest in their classes and already have an awareness of the precise areas that need to be strengthened. Consequently, a study guide that can be purchased online or in book stores may suffice in these students’ preparation.
2. For students possessing significant gaps in understanding their basic academics, a Prep class is a consideration. Prep classes present a thorough A – Z review of all the core concepts that students will be tested on, and this is a clear benefit to those with LARGE pockets of confusion and/or a large array of topics not yet learned.
3. For students with spotty gaps in their background but who are not completely lost, one-on-one tutorial work is the most cost- and time-effective. Pupils who fall into this category typically lack an awareness of where their specific gaps exist. And even for those students with the rare ability to identify precisely where their weaknesses lie, they don’t always have the ability to repair these confusions on their own.
A full comprehensive curriculum I will provide to you, but instead of equal attention to each of the areas in the A – Z list of topics as in a class prep course, the focus will be on identifying and targeting the specific areas of weakness in your background. Yes, there will be general review of all of the concepts, but for the topics that are already within your grasp, this will be a quick “reminder” review; the bulk of the time will be spent on the areas that most evade your understanding.
And periodically a practice test will be given to assess progress.
The big question people oftentimes have: “Are there tricks to these tests?”
Absolutely there are, and I will show you every trick there is!! . . . and all of these clever tricks will make perfect sense once we have a decently firm grasp on the underlying mathematics and/or science.
The first step is to do an assessment, and for that I have general exams in all of the relevant subjects. I ask that you take this exam, and based on which problems are answered correctly and incorrectly, that tells me exactly in which direction to proceed.
Email Me
glaztutor@aol.com
Call Me
(917) 680-1895